四川专升本|高等数学:核心公式速记卡+典型例题
2026-04-03 16:09
来源:四川新东方专升本
作者:四川统招专升本
高等数学是四川专升本理工农医类考试的核心科目,公式理解与准确应用是解题关键。本文按照函数与极限、导数与微分、积分、微分方程四大模块,整理考试必背核心公式,搭配典型例题与易错提醒,便于考生快速记忆、规范使用。


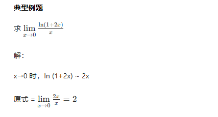
易错提醒:等价无穷小仅在乘除中使用,加减不可随意替换。


易错提醒:复合函数求导不可漏层,乘积 / 商法则符号易出错。


易错提醒:积分结果必须加常数 C;凑微分符号、系数易遗漏。

易错提醒:上下限代入顺序不可颠倒;对称区间先判断奇偶性。

易错提醒:一阶线性方程先化为标准型,指数积分符号易写错。
【核心公式速记表】

使用建议
公式是解题的基础工具,熟练掌握并规范使用,可有效提升解题准确性与流畅度。
无论你是大二规划、大三冲刺,还是 0 基础、无规划的考生,成都新东方专升本都是靠谱之选!依托品牌口碑与硬核师资,搭配贴合四川考情的系统化课程,精准解决备考难点。不用费心搜集资料、纠结备考计划,这里全程为你护航!点击右下方弹窗咨询在线老师,领取个性化学习规划,解锁专属升本干货,助你高效上岸理想本科!四川新东方专升本(成都)客服微信:18613293072(加微信)
推荐阅读:
版权及免责声明
①凡本网注明"稿件来源:新东方"的所有文字、图片和音视频稿件,版权均属新东方教育科技集团(含本网和新东方网) 所有,任何媒体、网站或个人未经本网协议授权不得转载、链接、转贴或以其他任何方式复制、发表。已经本网协议授权的媒体、网站,在下载使用时必须注明"稿件来源:新东方",违者本网将依法追究法律责任。
② 本网未注明"稿件来源:新东方"的文/图等稿件均为转载稿,本网转载仅基于传递更多信息之目的,并不意味着赞同转载稿的观点或证实其内容的真实性。如其他媒体、网站或个人从本网下载使用,必须保留本网注明的"稿件来源",并自负版权等法律责任。如擅自篡改为"稿件来源:新东方",本网将依法追究法律责任。
③ 如本网转载稿涉及版权等问题,请作者见稿后在两周内速来电与新东方网联系,电话:010-60908555。